Нэг килограмм үхрийн цул махны дундаж үнэ ₮30,000-д хүрч, өмнөх оны мөн үеэс ₮8,000-аар нэмэгдэв
Гуравдугаар сарын 30-ны байдлаар Улаанбаатар хотод гол нэрийн зарим барааны үнэ өмнөх сараас 5.6 хувь, өмнөх 7 хоногоос 1.0 хувиар тус тус өссөнийг Үндэсний Статистикийн Хорооноос/ҮСХ/ мэдээллээ.
Гол нэрийн хүнсний бүтээгдэхүүнүүдээс хонь, үхрийн мах болон дотоодын төмсний дундаж үнэ өнгөрсөн долоо хоногийн үеэс 1.7-3.1 хувиар нэмэгдсэн байна.
Жишээлбэл нэг килограмм үхрийн цул махны дундаж үнэ хоёрдугаар сард 28,812 төгрөг байсан бол уржигдрын байдлаар 30,877 төгрөгт хүрчээ. Уг үнийг өмнөх оны мөн үетэй харьцуулбал 8,000 төгрөгөөр өссөн байгаа юм. 2025 оны гуравдугаар сарын 31-ний өдрийн байдлаар нэг килограмм үхрийн цул мах 22,394 төгрөгөөр борлуулагдаж байжээ.
Улаанбаатар хотын гол нэрийн зарим барааны үнэ, үнийн индекс:
/2026 оны 03 дугаар сарын 30-ны байдлаар өмнөх сар болон 7 хоногийн дундаж үнэтэй харьцуулснаар. Эх сурвалж: ҮСХ/
| № | Барааны нэр | 2026 он | |||
| II сарын дундаж | III.23. | III.30. | |||
| төгрөг | |||||
| 1 | "Алтан тариа" гурил | дээд, савласан, кг | 3 507 | 3 507 | 3 507 |
| I зэрэг, савласан, кг | 2 507 | 2 507 | 2 507 | ||
| 2-р зэрэг, савласан, кг | 1 410 | 1 410 | 1 410 | ||
| 2 | Талх | "Атар", 600 гр | 2 695 | 2 695 | 2 695 |
| "Зууван чех", 600 гр | 3 308 | 3 308 | 3 308 | ||
| Хар талх, 300 гр | 2 552 | 2 552 | 2 552 | ||
| 3 | Цагаан будаа, кг | 4 966 | 4 966 | 4 966 | |
| 4 | Хонины мах, ястай, кг | 19 181 | 21 435 | 21 984 | |
| 5 | Үхрийн мах, ястай, кг | 24 581 | 26 515 | 26 976 | |
| 6 | Үхрийн мах, цул, кг | 28 812 | 30 417 | 30 887 | |
| 7 | Адууны мах, ястай, кг | 15 827 | 16 774 | 16 705 | |
| 8 | Ямааны мах, ястай, кг | 14 820 | 15 767 | 15 461 | |
| 9 | Сүү | задгай, л | 4 299 | 4 413 | 4 413 |
| "Элекстер", 0.5 л | 2 352 | 2 352 | 2 352 | ||
| "Миний Монгол", л | 4 997 | 5 012 | 5 012 | ||
| 10 | Тараг, савласан, 900 гр, "Цөцгийтэй" | 4 572 | 4 572 | 4 572 | |
| 11 | Цөцгийн тос, 200 гр | 10 533 | 10 533 | 10 533 | |
| 12 | Ургамлын тос, л | 10 844 | 10 844 | 10 844 | |
| 13 | Элсэн чихэр, кг | 4 951 | 4 951 | 4 951 | |
| 14 | Ногоон цай, савласан, 90 г | 4 038 | 4 038 | 4 038 | |
| 15 | Өндөг, ш | 612 | 612 | 612 | |
| 16 | Алим, кг | 8 394 | 8 398 | 8 398 | |
| 17 | Төмс, кг | 2 812 | 3 060 | 3 156 | |
| 18 | Лууван, кг | 3 035 | 3 035 | 3 035 | |
| 19 | Байцаа, кг | 3 604 | 3 743 | 3 743 | |
| 20 | Хүрэн манжин, кг | 3 776 | 3 836 | 3 836 | |
| 21 | Сонгино, кг | 4 329 | 4 329 | 4 329 | |
| 22 | Шатахуун | Аи-80 автобензин, л | 2 345 | 2 345 | 2 345 |
| Аи-92 автобензин, л | 2 590 | 2 590 | 2 590 | ||
| Дизелийн түлш, л | 3 140 | 3 140 | 3 447 | ||
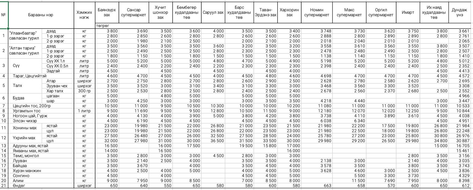
Саруул захад нэг килограмм үхрийн цул махны дундаж үнэ 36,000 төгрөгт хүрсэн нь хамгийн үнэтэйд тооцогдож байна. Тэгвэл Оргил супермаркетад нэг килограмм үхрийн цул мах 26,500 төгрөгөөр зарагдаж байгаа аж.
УЛААНБААТАР ХОТЫН ХҮНСНИЙ ГОЛ НЭРИЙН БАРААНЫ ҮНЭ, хүнсний зах, дэлгүүрээр, 2026 оны 03 дугаар сарын 30-ны байдлаар.
Хэвлэл мэдээллийн байгууллагууд (Телевиз, Радио, Social болон Вэб хуудаснууд) манай мэдээллийг аливаа хэлбэрээр бүрэн ба хэсэгчлэн авч ашиглах хориотой ба зөвхөн зөвшилцсөн тохиолдолд эх сурвалжийг (ikon.mn) дурдах замаар ашиглах ёстойг анхаарна уу!
