ФОТО: Улаанбаатарчуудын "худалдан авч буй" цэвэр агаар
Нийслэлчүүд цэвэр агаараар амьсгалахын төлөө багагүй хэмжээний мөнгө зарцуулдаг.
Гэртээ агаар цэвэршүүлэгч хэрэглэх, агаарын бохирдол ихтэй үеэр зуслангийн байшин түрээслэх, амралт сувилалд явах, гадаадад өвлийг өнгөрүүлэх гэх мэтээр цэвэр агаарыг "худалдаж авдаг" гэж хэлж болно. Эдгээрээс хамгийн хямд зардлаар цэвэр агаар амьсгалах арга нь амралтын өдрөөр хүүхдүүдээ дагуулаад хотоос гарах юм.
Засгийн газар, хотын захиргаанаас 2019-2020 оны өвөл агаарын бохирдлыг 50 хувиар бууруулсан хэмээх амжилтаа ам уралдан ярьцгааж, цаашид 80 хүртэл хувиар бууруулах зорилтоо зарласан.
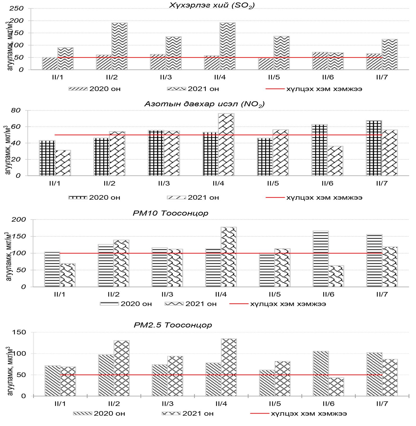
Улаанбаатар хотын агаарын бохирдлын 80 хувийг бүрдүүлэгч эх үүсвэр нь гэр хорооллын яндангаас гарч буй утаа(түүхий нүүрсний шаталтаас үүссэн нарийн ширхэгт тоосонцор) тул түүнийг бууруулах чиглэлд ажиллаж, сайжруулсан шахмал түлшийг хэрэглээнд нэвтрүүлээд хоёр дахь өвлийг үдэж байна. Гэсэн ч агаар дахь хүхэрлэг хийн хэмжээ хүлцэх хэмжээнээс их хэвээр байна. Тодруулбал,
Улаанбаатар хотын агаарын чанарын өнгөрсөн долоо хоногийн мэдээгээр:
Улаанбаатар хотын агаарт түгээмэл бохирдуулах бодис хүхэрлэг хий /SO2/, азотын давхар исэл /NO2/, тоосонцор /PM10, PM2.5/, нүүрстөрөгчийн дутуу исэл /CO/, озон /O3/-ы хэмжээг харвал өнгөрсөн оны мөн үеэс хамгийн их өссөн нь хүхэрлэг хий байна.
Азотын давхар исэл, PM10 тоосонцрын хувьд хүлцэх хэмжээнээс бага зэрэг илүү байгаа бол хүхэрлэг хий, PM2.5 тоосонцор хүлцэх хэмжээнээс бараг ХОЁР ДАХИН өндөр байгаа юм.
Хүснэгтээр үзүүлбэл:
Агаарын температур өнгөрсөн оны мөн үетэй харьцуулахад бараг адил байхад агаар дахь хүхэрлэг хийн хэмжээ 2 ДАХИН нэмэгдээд байна.
Агаарын бохирдолд хүүхэд, өсвөр насныхан, өндөр настнууд, архаг хууч өвчтэй, зүрх судасны өвчтэй хүмүүс, жирэмсэн эмэгтэйчүүд илүү их өртдөг бөгөөд хүүхдийн дасан зохицох чадвар, цаашлаад хүүхдийн оюун ухаан, сэтгэн бодох чадварт ч нөлөөлдөг болохыг судлаачид тогтоосон байдаг.
Агаарын найрлагад хүхэрлэг хий удаан хугацааны турш 250мкг/м3-аас дээш агуулагдвал энэхүү бүс нутагт оршин суух хүмүүсийн амсгалын зам халдварт өвчинд өртөмтгий, амьсгалын эрхтэн тогтолцооны эмгэг мөн нэмэгддэг байна. Тэгвэл өнгөрсөн долоо хоногт гэхэд 24 цагийн дунджаар агаар дахь хүхэрлэг хийн хэмжээ 329 мкг/м3 байсныг агаарын чанарын мэдээнээс харж болно.
Тэгэхээр хүхэрлэг хийн хэмжээ НЭМЭГДСЭН энэ үед нийслэлчүүд цэвэр агаарыг "худалдан" авсаар байх нь.
Агаарын бохирдол КОВИД-19-ийн халдвар тарахад нөлөөлж байгаа юу?
Түүнчлэн нийслэл Улаанбаатар хотод коронавирусийн халдвар эрчимтэй тархаж байгаа энэ үед агаарын бохирдлыг бууруулах нь халдварын тархалтыг хумихад нөлөөтэйг олон улсад хийгдсэн судалгаануудаас харж болохоор байна. Тухайлбал,
Перу улсын Лима хот нь Латин Америкийн бүсэд COVID-19 халдварын тоогоороо хоёрдугаарт бичигдэж байгаа. Уг бүс нутаг нь агаарын бохирдол ихтэй хотуудын нэг юм. Эрдэмтэд тус хотод халдвар өндөр байгаад агаарын бохирдол нөлөөтэй. Мөн хүн амын шигүү суурьшил нь мөн хамаарсан гэж үзсэн байна. Иймд вирусийн дэгдэлтээс урьдчилан сэргийлэхэд агаарын бохирдлыг бууруулах зайлшгүй шаардлагатай гэж цохон тэмдэглэжээ.
Нидерланд улсын эрдэмтдийн судалгаагаар агаарын бохирдол коронавирусийн халдварын тохиолдолтой хамааралтай болохыг мөн тогтоосон. Нэг метр куб газрын агаар дахь нарийн ширхэгт тоосонцор нэг микрограммаар нэмэгдэхэд тохиолдлын тоо 15-аар, эмнэлэгт хэвтэлт 4-өөр, нас баралт 3-аар нэмэгдэж байгааг судалгааны дүгнэлтэд онцолжээ.
ФОТО /2020.02.07-ны Ням гараг/
Гэрэл зургийг Д.Занданбат /Mpa.mn/
Хэвлэл мэдээллийн байгууллагууд (Телевиз, Радио, Social болон Вэб хуудаснууд) манай мэдээллийг аливаа хэлбэрээр бүрэн ба хэсэгчлэн авч ашиглах хориотой ба зөвхөн зөвшилцсөн тохиолдолд эх сурвалжийг (ikon.mn) дурдах замаар ашиглах ёстойг анхаарна уу!

